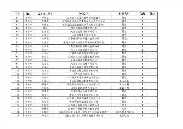
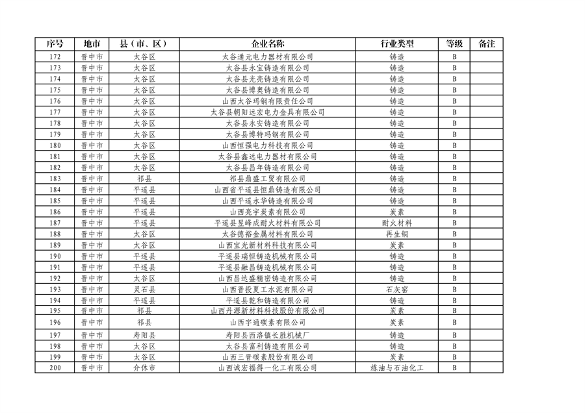
山西省生态环境厅10月24日发布关于对山西省2024年第一批A级、B级、引领性企业名单和第二批A级、B级、引领性降级企业名单进行公开的公告,其中山西省2024年第一批A级企业78家,山西省2024年第一批B级企业336家,山西省2024年第一批引领性企业205家,山西省2024年第二批A级、B级、引领性降级企业65家。详情如下:
关于对山西省2024年第一批A级、B级、引领性企业名单和第二批A级、B级、引领性降级企业名单进行公开的公告
按照生态环境部重污染天气重点行业绩效分级工作的有关要求,现将山西省2024年第一批A级、B级、引领性企业名单和2024年第二批A级、B级、引领性降级企业名单向社会公开。如对上述名单有异议,请将意见及建议发shanxidaqizu@163.com。欢迎社会各界监督,敬请提出宝贵意见。



























